“Conocer con la mayor precisión posible las demandas de carga dinámica de los distintos puestos de trabajo de una empresa, además de ser una exigencia legal, resulta fundamental para la adaptación del trabajo a la persona y en particular a las y los trabajadores especialmente sensibles, como aquellos con patologías cardiacas y la protección de la mujer durante la gestación o en periodo de lactancia ”
Artículo Técnico:
D. Antonio Emir Díaz Martínez
Consultor Nacional de Ergonomía Área de Prevención de FREMAP
Este artículo pretende dar a conocer algunos conceptos esenciales para analizar la carga dinámica de un puesto de trabajo. En el mismo, se analizan únicamente los esfuerzos dinámicos, teniendo en cuenta los riesgos derivados de la sobrecarga y de la infracarga física.
Tomando como valores de referencias distintos estudios publicados y tras un análisis profundo de la nota técnica de prevención “NTP 295: Valoración de la carga física mediante la monitorización de la frecuencia cardiaca”, se ha procedido a una actualización para facilitar la implementación de los factores determinantes de la infracarga y sobrecarga de trabajo en la valoración de las condiciones de trabajo y salud.
La carga física de trabajo se puede definir como el conjunto de requerimientos físicos a los que se ve sometida la persona a lo largo de su jornada laboral.
El esfuerzo dinámico surge cuando hay una sucesión periódica de contracciones y relajaciones de los músculos que intervienen en la actividad de corta duración, por ejemplo, martillear, caminar, subir escaleras, etc.
El volumen de carga física es una función de dos variables: el tiempo de trabajo y la intensidad de la carga.
En relación con el tiempo de trabajo existe diversa legislación al respecto. El descanso laboral es un derecho recogido en la Constitución Española, (Art. 40.2). El Estatuto de los Trabajadores (Art. 34 y Art. 37) establece limitaciones a la jornada de trabajo garantizando unos descansos inexcusables. El R.D. 1561/1995, modificado por el R.D. 902/2007, regula la jornada de trabajo y los descansos de trabajos y sectores peculiares, todo ello sin perjuicio de la regulación concreta pactada en la negociación colectiva, pero siempre sometido a estos límites.
En cambio, no existe legislación en relación con la intensidad de la carga de trabajo, pero si normas y criterios técnicos de reconocido prestigio para evaluar la intensidad del esfuerzo, entre los que destacan los criterios de FRIMAT y de CHAMOUX.
Este artículo se centra en la evaluación de la carga física dinámica mediante el análisis de la frecuencia cardiaca por ser un método económico, con buena precisión (±10%), y una buena aceptación por parte de los trabajadores, que no interfiere en las condiciones normales de trabajo.
Para monitorizar la frecuencia cardiaca se pueden utilizar pulsómetros de campo muy cómodos, que incluso pueden trasmitir directamente los resultados al ordenador y permiten el análisis gráfico de los mismos.


Este método es aplicable para trabajadores “entrenados”, es decir, que lleven trabajando, como mínimo 2 semanas seguidas, 8 horas diarias en el puesto objeto de la valoración y que no padezcan ninguna enfermedad cardiaca o respiratoria, incluido el resfriado común. El tiempo de monitorización debe ser representativo de la jornada laboral.
A partir de la monitorización de la frecuencia cardiaca se pueden obtener los siguientes valores:
Frecuencia cardiaca de reposo (FCR)
Se puede obtener midiendo la frecuencia cardiaca del trabajador que ha permanecido en posición de sentado durante 10 minutos, como mínimo, en una sala, a poder ser climatizada.
Si esto no resulta posible, se pueden considerar las frecuencias cardiacas teóricas de reposo que se indican en la siguiente tabla:

Frecuencia cardiaca máxima teórica (FCmaxt)
Para la estimación de la misma existe un gran número de ecuaciones predictivas, siendo las más utilizadas las siguientes:
La norma UNE-EN ISO 8696 proporciona otra fórmula para calcular la frecuencia cardiaca máxima teórica, en función de la edad, pero sin tener en cuenta el sexo del individuo:

Tanaka et al (2001) presenta una fórmula similar:

Frecuencia cardiaca media de trabajo (FCM)
Es la frecuencia media obtenida durante las horas de registro de la misma. La proporciona directamente el pulsómetro cuando efectuamos la medición.
Frecuencia cardiaca máxima de trabajo (FCmax)
Es el valor más alto obtenido durante el tiempo de medición. La facilita directamente el pulsómetro.
Coste cardiaco absoluto (CCA)
Es la diferencia entre la frecuencia cardiaca media y la frecuencia cardiaca de reposo. Proporciona una idea aproximada de la carga física dinámica de un puesto de trabajo.

Coste cardiaco relativo (CCR)
Da una idea de la adaptación del trabajador a su puesto de trabajo.

Aceleración de la frecuencia cardiaca (∆FC)
Es la diferencia entre la frecuencia cardiaca máxima de trabajo y la frecuencia cardiaca media. Se determina por la expresión:

A partir de los valores antes señalados podemos categorizar el puesto de trabajo según la carga física que presenta. Para ello se puede utilizar la propuesta de Frimat para toda la jornada y para las fases cortas de trabajo y la propuesta de Chamoux para el estudio global del puesto y el coste relativo para la persona.
Criterio de FRIMAT
Asigna una puntuación de penosidad que va del 1 al 6 a cada una de las cinco variables de la tabla siguiente (la variable 3 no se contempla):

La suma de dichos valores se lleva a la tabla siguiente para asignar una puntuación al puesto de trabajo según su requerimiento cardiaco:

Para una valoración más sencilla se puede utilizar la siguiente clasificación:

Criterio de Chamoux
Este método se aplicará para la valoración global del puesto de trabajo y para duraciones de jornada laboral de 8 horas consecutivas.

Si la monitorización de la frecuencia cardiaca pone de manifiesto la existencia de sobrecarga dinámica puede ser necesario proceder a un rediseño del puesto de trabajo o establecer un sistema de pausas que permitan la recuperación del trabajador.
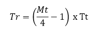
Para calcular el tiempo de descanso o recuperación se puede seguir el criterio de Lehman y Spitzer. Según este criterio el tiempo de recuperación se calcula mediante la expresión siguiente:

Siendo:
- Tr: Tiempo de recuperación, en horas.
- Mt: Carga de trabajo en Kcal/min.
- Tt: Tiempo de trabajo, en horas
Determinar el número de periodos de recuperación requiere conocer las condiciones concretas del puesto. Habitualmente es preferible hacer más pausas, aunque sean más cortas, pero lo que no resulta admisible es que exista un periodo de recuperación al inicio o al final de la jornada laboral.
En el supuesto de que la monitorización de la frecuencia cardiaca pusiese de manifiesto que se trata de un puesto de trabajo sedentario se debe promocionar la actividad física en el ámbito laboral creando oportunidades para la práctica de la misma, lo que conlleva beneficios sociales derivados de los costes de atención sanitaria, aumento de la productividad, disminución del estrés y reducción de la incapacidad temporal.
