Desde la entrada en vigor del real decreto 681/2003, han surgido innumerables dudas acerca de la necesidad o no de realizar el Documento de Protección contra Explosiones (DOPEX) en aparcamientos subterráneos.
Artículo Técnico
Autor: Juan Manuel Cano Galdón
Área de Prevención-FREMAP
Desde la entrada en vigor del real decreto 681/2003, han surgido innumerables dudas acerca de la necesidad o no de realizar el documento de protección contra explosiones (DOPEX) en diversos sectores y ámbitos.
Una de las principales dudas, que nos llegan en nuestra tarea de asesoramiento, es sobre la necesidad de realizar el DOPEX, en aparcamientos subterráneos. ¿Es realmente necesario? ¿De dónde surge esta duda?
El reglamento electrotécnico de baja tensión, RD 842/2002, en su instrucción técnica complementaria número 29 (ITC-029), establece en su punto 4.2 “una lista, de emplazamientos peligrosos, sin que ésta sea exhaustiva, y salvo que el proyectista pueda justificar que no existe el correspondiente riesgo”, en la que se incluyen garajes y talleres de reparación de vehículos excluyendo los garajes de uso privado para estacionamiento de 5 vehículos o menos.
Puede parecer que es obligatoria la elaboración, de la clasificación de zonas, y por tanto, del DOPEX, en este tipo de emplazamientos, pero, ¿es realmente necesario?
En primer lugar, deberíamos decidir, en base a que sustancia inflamable se realiza la clasificación de zonas y por tanto el DOPEX.

Parece obvio, que en un aparcamiento, donde vamos a encontrar vehículos, va a existir la presencia de distintos combustibles. El ANEXO III de la guía técnica de aplicación ITC-029, del reglamento electrotécnico de baja tensión, establece que el parque móvil español, y por tanto la sustancias inflamables que podemos encontrar, está distribuido según los siguientes porcentajes:
- Vehículos de Gas-oil ≈ 44% del parque automovilístico actual. (Tª de inflamación >55ºC).
- Vehículos de Gasolina ≈ 56% del parque automovilístico actual. (Tª de inflamación <20ºC).
- Vehículos de GLP ≈ <1% del parque automovilístico actual. (Tª de inflamación << 0ºC).
- Vehículos eléctricos de carretera.
Dejando de lado aquellos vehículos de Gas-oil, ya que esta sustancia a temperatura ambiente, no genera suficientes vapores, como para que se sobrepase el Límite inferior de explosividad (LIE) de la sustancia, (Temperatura de inflamación ≈ 55 ºC), y por tanto no forma una atmosfera explosiva en caso de derrame, podríamos suponer una zona clasificada, “zona 2” por rotura y derrame de combustible, alrededor de cada vehículo.
Detengámonos en este punto, “por rotura y derrame”. ¿Con que frecuencia se produce este suceso? ¿Alguien conoce algún caso de rotura de un depósito de gasolina, de un vehículo? En caso de dar por buena esta premisa, ¿no sería necesario realizar el DOPEX a todos aquellos vehículos que se utilicen en la jornada de trabajo, comerciales, directivos, tractores, camiones, etc.?
La norma UNE-EN 60079-10-1, excluye de las posibles fuentes de escape las uniones, tanto de tuberías como de depósitos, soldadas. Un depósito de combustible de un vehículo se puede asimilar a este tipo de uniones y por tanto podríamos estableces que no existe en este caso fuente de escape, por lo tanto no puede existir una atmósfera explosiva ni sería necesario realizar el DOPEX.
En cualquier caso, la propia guía técnica de aplicación, del REBT, en su anexo III, establece, que manteniendo las condiciones de ventilación mínimas que regula el Código técnico de edificación para este tipo de construcciones, 18 m3/h m2, sería suficiente para diluir la posible atmósfera explosiva generada en un derrame de gasolina.
Pero estas no son las únicas sustancias inflamables que podemos encontrar en un aparcamiento. Cuando los vehículos se encuentran con el motor arrancado, generan una serie de gases que además de ser nocivos para la salud, también son inflamables.
La composición de los humos de escape, dependen principalmente del tipo de motor, gasolina o diésel, de las condiciones en las que se encuentran estos, y de las condiciones ambientales.

De todas las sustancias emitidas por los vehículos, debemos tener en cuenta desde el punto de vista del reglamento ATEX, el monóxido de carbono (CO) y la fracción de hidrocarburos inquemados.
En la actualidad, las emisiones de gases de los motores de combustión están reguladas por normativa europea, de manera que para motores diésel, la tasa de emisión de CO es de 0.5 g/km y no se contempla la emisión de hidrocarburos inquemados. Para motores de gasolina, la tasa de emisión para el CO es de 1 g/km. y para hidrocarburos 0.1 g /Km.
Si suponemos que la velocidad media de un vehículo en el interior de un aparcamiento es de unos 20 km/h, podremos saber el caudal de emisión para cada vehículo sería.

Si estimamos que la densidad de ocupación de un aparcamiento suele ser de 30 m2 por vehículo, podríamos calcular las emisiones por m2 de aparcamiento. Si suponemos que están en movimiento todos los vehículos simultáneamente.

Una vez estimada la cantidad de gases emitidos, podemos calcular la ventilación necesaria para diluir estos gases, por debajo del LIE de la sustancia. Para ello utilizamos las fórmulas que propone la norma UNE-EN 60079-10-1. Realizaremos el cálculo para ambas sustancias.
En primer lugar debemos pasar el límite inferior de explosividad del monóxido de carbono a kg /m3
LIE = (1/22.4) x (273/293) x PM x (12,5/100), a 20 ºC (1)
donde PM es el peso molecular del CO y la relación 273/293 corresponde a la corrección del volumen por temperatura, supuesta ésta la del aparcamiento o sea 20 ºC. Entonces el valor de LIE será:
LIE = 0,146 (kg/m3), a 20 ºC
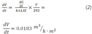
El caudal mínimo de ventilación necesario será según UNE 60079-10-1:

Tomando como valor de k = 0.25, factor de seguridad recogido en la norma UNE-EN 60079-10-1, para escapes continuos, por ser el valor más desfavorable. De este modo nos aseguramos que en ningún caso se sobrepasa el 25 % del LIE.
Repetimos las operaciones para los hidrocarburos inquemados.
En primer lugar debemos pasar el límite inferior de explosividad de los hidrocarburos a kg /m3
LIE = (1/22.4) x (273/293) x PM x (1.3/100), a 20 ºC (1)
donde PM es el peso molecular de la gasolina por simplificar los cálculos y la relación 273/293 corresponde a la corrección del volumen por temperatura, supuesta ésta la del aparcamiento o sea 20 ºC. Entonces el valor de LIE será:
LIE = 0,0465 (kg/m3), a 20 ºC
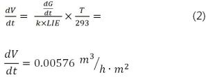
El caudal mínimo de ventilación necesario será según UNE 60079-10-1:

En ambos casos, y a pesar de las aproximaciones que hemos ido teniendo en cuenta anteriormente, los datos son suficientemente bajos, como para hacer despreciable el riesgo de explosión, teniendo en cuenta que la norma UNE 100166 exige un valor mínimo de 18 m3/m2 h, valor que coincide con el propuesto en el código técnico de edificación.
Por estos motivos, parece lógico, pensar que no es necesario realizar el DOPEX, en todos aquellos aparcamientos que estén construidos de acuerdo al código técnico de edificación.
En cualquier caso se debería realizar un estudio de las condiciones de ventilación concretas en cada caso, para descartar esta posibilidad, justificando de este modo la desclasificación del emplazamiento, pero sobre todo, para preservar la salud de las personas que puedan acceder al mismo, por la presencia de monóxido de carbono en el ambiente, ya que, en el caso de que se alcanzara el LIE, 12.5 %, estaríamos unas 100 veces por encima de la concentración letal para el CO, y 2.500 veces por encima de su VLA , hecho totalmente inadmisible.
